
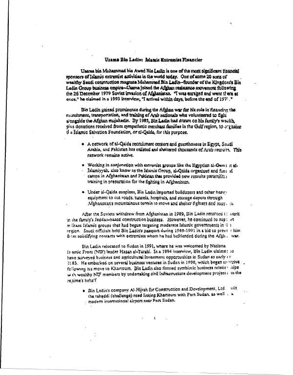
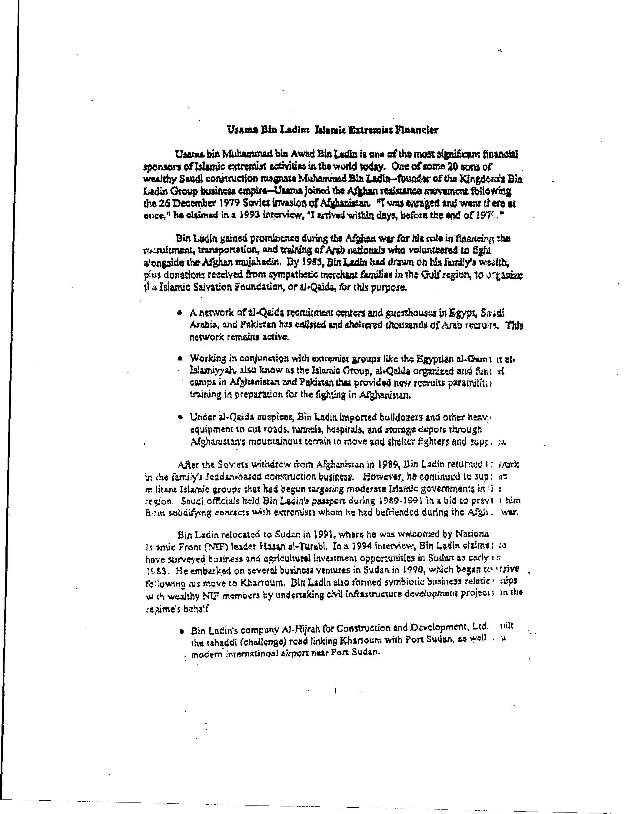
The Al Qaeda leader Osama Bin Laden, killed in Pakistan by U.S. special operations forces yesterday, ranked as “one of the most significant financial sponsors of Islamic terrorist activities in the world” as early as 1996, according to declassified U.S. documents posted on the web today by the National Security Archive at George Washington University (www.nsarchive.org).
The Bin Laden File includes the CIA’s 1996 biographic sketch, the infamous President’s Daily Brief from 6 August 2001 warning “Bin Ladin Determined to Strike in US,” a State Department issue paper from 2005 reporting that “some Taliban leaders operate with relative impunity in some Pakistan cities,” the 400-page Sandia National Laboratories profile of bin Laden focusing on the 1998 U.S. embassy bombings in Kenya and Tanzania, the 2006 State Department cable on the Taliban’s regrouping in Pakistan’s tribal areas making them “a sanctuary beyond the reach of either Government,” the demands made on Pakistan right after 9/11 by Deputy Secretary of State Richard Armitage, and the only known conversation between the U.S. government and the Taliban leader Mullah Omar.
Read the whole file here.

Rest of the documents are here.

