
Last week the Department of State released the “Zelikow Memo,” in response to a National Security Archive FOIA request. While less than the stalwart, principled, statement of righteous indignation against the United States’s use of torture that some have claimed, the memo does show that some within the Bush administration knew that the CIA’s practice of torture was illegal –and said so. We also know that the White House tried to have this view suppressed. As Philip Zelikow, the memo’s author, said in an interview, “Obviously, you want to eliminate records because you don’t want people to find them.” Fortunately, thanks to the Freedom of Information Act (and diligent and law-abiding records keepers from the Bureau of Intelligence and Research), those who wish to know the unvarnished history of “The War on Terror,” can come closer to doing so.
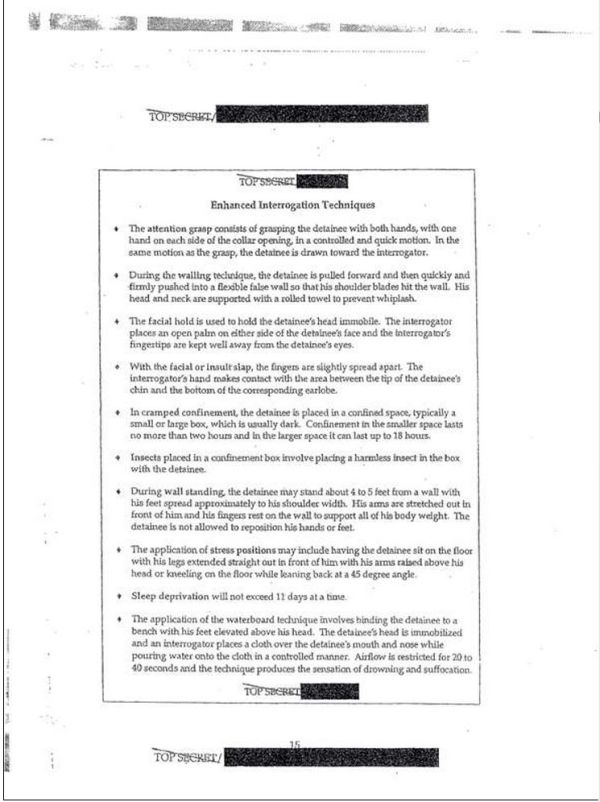
Information on US torture policies was not always available. The Bush administration’s disdain for the public’s right to know can be summed up in one infamous page from its highly-redacted May 2008 release of the CIA’s Inspector General’s report on Torture Counterterrorism Detention and Interrogation Activities.

And here is the same page, released by the Obama administration in August 2009. (Click here for the National Security Archive’s fascinating side-by-by side of the two documents to see what the CIA was attempting to hide.)

Credit must be given to the Obama administration for taking the history of the “enhanced interrogation program” from behind the redaction lines. The re-released and substantially less-redacted CIA IG report concluded, “The Agency faces potentially serious long-term political and legal challenges as a result of the CTC [Counterterrorism] Detention and Interrogation Program, particularly its use of EITs [Enhanced Interrogation Techniques] and the inability of the U.S. Government to decide what it will ultimately do with terrorists detained by the Agency.” The Obama administration’s release of the IG report spurred the release of the other torture memos.*
Here is the most comprehensive chronology of torture memos on the web. And here is the National Security Archive’s Torture Archive, the complete and growing, fully indexed collection of every publicly available document about torture, renditions, and black sites in the “War on Terror.”
Curiously, the most prominent Torture Memo still not officially released is the Feburary 2, 2002 “Taft Memo” that warned not to abandon Geneva Convention protections of “enemy combatants.” The State Department legal adviser William Howard Taft IV told the White House that adhering to the Geneva Convention during the “War on Terror” would demonstrate[] that the United States bases its conduct not just on its political preferences but on its international legal obligations.” He also warned, that abandoning the Geneva Convention “deprives our troops [in Afghanistan] of any claim to the protection of the Convention.”
The Department of State has denied the release of this memo, citing the b(5) “Predecisional” exemption, despite Attorney General Eric Holder’s instruction to all agencies to use b(5) as rarely as possible. The “Zelikow Memo” –in theory– could have also been withheld under b(5); fortunately, its reviewer was more thoughtful in her decision. This withholding is all the more foolish considering that a leaked version of the “Taft Memo,” and its attachments, is available at the Torture Archive, and the New York Times.
While the Obama administration was willing to release documents on “enhanced interrogation” during the Bush administration, it was unwilling to prosecute any of the perpetrators for war crimes. This is despite General Barry McCaffrey’s admission that “We should never, as a policy, maltreat people under our control, detainees. We tortured people unmercifully. We probably murdered dozens of them during the course of that, both the armed forces and the C.I.A.” The Major General Antonio Taguba, author of the “Taguba Report” on treatment of Abu Ghraib prisoners in Iraq, has determined in another report that torture did not occur in isolated incidents, but was actually the officially sanctioned US policy worldwide; he concluded, “there is no longer any doubt as to whether the current administration has committed war crimes. The only question that remains to be answered is whether those who ordered the use of torture will be held to account.”*
The Zelikow Memo provides further evidence that those who authorized torture did so knowing it was illegal –and chose to do so anyways. And got away with it.
At least we now know.
———
*An additional disclosure of documents previously withheld during the Bush administration were the “Saddam Transcripts.” In April 2009, the National Security Archive received a letter from the FBI stating that our FOIA request for information about the interrogation of Saddam Hussein had been “re-opened” due to the new Attorney General Guidelines for FOIA. This is the only time I have seen a “re-opening” of a case. Unfortunately, it appears that White House and high-level DOJ pressure to disclose more records has all but disappeared.
The transcripts of the 25 interviews and conversations with Saddam Hussein are staggering. In one, Saddam stated that Osama bin Laden was “no different than the many zealots that came before him.” He also alleged, ” the United States used the 9/11 attack as a justification to attack Iraq. The United States had lost sight of the cause of 9/11.”
**Yesterday, former CIA officer John Kiriakou was indicted for leaking information about the CIA’s waterboarding program to the press. The Obama administration has been much more eager to prosecute those that have exposed torture than those who have conducted it.


3 responses to “Document Friday: The Torture Memos, We Now Know.”
[…] Document Friday: The Torture Memos, We Now Know. (nsarchive.wordpress.com) […]
[…] Document Friday: The Torture Memos, We Now Know. (nsarchive.wordpress.com) […]
[…] Above: The Bush administration’s disdain for the public’s right to know can be summed up in one infamous page from its highly-redacted May 2008 release of the CIA’s Inspector General’s report on Torture Counterterrorism Detention and Interrogation Activities. […]